Функция КОРРЕЛ для определения взаимосвязи и корреляции в Excel

Функция КОРРЕЛ в Excel используется для расчета коэффициента корреляции между для двух исследуемых массивов данных и возвращает соответствующее числовое значение.

Примеры использования функции КОРРЕЛ в Excel

Пример 1. В таблице Excel содержатся данные о курсе доллара и средней зарплате сотрудников фирмы на протяжении нескольких лет. Определить взаимосвязь между курсом валюты и средней зарплатой.

Таблица данных:

Пример 1.

Формула для расчета:

КОРРЕЛ.

Описание аргументов:

  • B3:B13 – диапазон ячеек, в которых хранятся данные о среднем курсе доллара;
  • C3:C13 – диапазон ячеек со значениями средней зарплаты.

Результат расчетов:

взаимосвязь валюты и зарплаты.

Полученный результат близок к 1 и свидетельствует о сильной прямой взаимосвязи между исследуемыми величинами. Однако прямо пропорциональной зависимости между ними нет, то есть на увеличение средней зарплаты оказывали влияние и прочие факторы.



Определение коэффициента корреляции влияния действий на результат

Пример 2. Два сильных кандидата на руководящий пост воспользовались услугами двух различных пиар-агентств для запуска предвыборной компании, которая длилась 15 дней. Ежедневно проводился соцопрос независимыми исследователями, которые определяли процент поддержки одного и второго кандидата. Респонденты могли отдавать предпочтение первому, второму кандидату или выступать против обоих. Определить, насколько влияла каждая предвыборная кампания на степень поддержки кандидатов, какая из них оказалась более эффективной?

Исходные данные:

Пример 2.

Произведем расчет коэффициентов корреляции с помощью формул:

=КОРРЕЛ(A3:A17;B3:B17)

=КОРРЕЛ(A3:A17;C3:C17)

Описание аргументов:

  • A3:A17 – массив ячеек, содержащий номера дней предвыборной кампании;
  • B3:B17 и C3:C17 – диапазон ячеек, содержащие данные о проценте поддержки первого и второго кандидатов соответственно.

Полученные результаты:

Определение коэффициента корреляции.

Как видно, уровень поддержки первого кандидата увеличивался с каждым днем кампании, поэтому коэффициент корреляции в первом случае стремится к единице. На старте кампании второй кандидат имел больший процент поддержки, и это значение на протяжении первых пяти дней демонстрировало положительную динамику изменений. Однако затем уровень поддержки стал снижаться, и к 15-му дню упал ниже начального значения. Отрицательное значение коэффициента корреляции свидетельствует о негативном эффекте кампании. Однако на события могли оказывать влияние различные факторы, например, опубликованные компрометирующие материалы. В связи с этим полагаться только на значение коэффициента корреляции в данном случае нельзя. То есть, коэффициент корреляции не характеризует причинно-наследственную связь.

Анализ популярности контента по корреляции просмотров и репостов видео

Пример 3. Владелец канала YouTube использует социальную сеть для рекламы своих роликов. Он заметил, что между числом просмотров и количеством репостов в социальной сети существует некоторая взаимосвязь. Можно ли спрогнозировать виральность контента канала в Excel? Определить целесообразность использования уравнения линейной регрессии для предсказания количества просмотров роликов в зависимости от числа репостов.

Исходные данные:

Пример 3.

Определим наличие взаимосвязи между двумя параметрами по формуле:

Если модуль коэффициента корреляции больше 0,7, считается рациональным использование функции линейной регрессии (y=ax+b) для описания связи между двумя величинами. В данном случае:

взаимосвязи.

Построим график зависимости числа просмотров от количества репостов, отобразим линию тренда и ее уравнение:

график зависимости.

Используем данное уравнение для определения количества просмотров при 200, 500 и 1000 репостов:

=9,2937*D4-206,12

Полученные результаты:

уравнение.

Аналогичное уравнение использует функция ПРЕДСКАЗ. То есть, чтобы найти количество просмотров в случае, если было сделано, например, 250 репостов, можно использовать формулу:

Полученный результат:

ПРЕДСКАЗ.

Коэффициент корреляции – один из множества статистических критериев определения наличия взаимосвязи между двумя рядами значений. Для построения точных статистических моделей рекомендуется использовать дополнительные параметры, такие как коэффициент детерминации, стандартная ошибка и другие.

Особенности использования функции КОРРЕЛ в Excel

Функция КОРРЕЛ имеет следующий синтаксис:

=КОРРЕЛ(массив1;массив2)

Описание аргументов:

  • массив1 – обязательный аргумент, содержащий диапазон ячеек или массив данных, которые характеризуют изменения свойства какого-либо объекта.
  • массив2 – обязательный аргумент (диапазон ячеек либо массив), элементы которого характеризуют изменение свойств второго объекта.

Примечания 1:

  1. Функция КОРРЕЛ не учитывает в расчетах элементы массива или ячейки из выбранного диапазона, в которых содержатся данные текстового или логического типов. Пустые ячейки также игнорируются. Текстовые представления числовых значений учитываются.
  2. Если необходимо учесть логические ИСТИНА или ЛОЖЬ в качестве числовых значений 1 или 0 соответственно, можно выполнить явное преобразование данных используя двойное отрицание «--».
  3. Размерности массив1 и массив2 или количество ячеек, переданных в качестве этих двух аргументов, должны совпадать. Если аргументы содержат разное количество точек данных, например, =КОРРЕЛ({1;2;3};{4;6;8;10}), результатом выполнения функции будет код ошибки #Н/Д.
  4. Если один из аргументов представляет собой пустой массив или массив нулевых значений, функция КОРРЕЛ вернет код ошибки #ДЕЛ/0!. Аналогичный результат выполнения данной функции будет достигнут в случае, если стандартное отклонение распределения величин в одном из массивов (массив1, массив2) равно 0 (нулю).
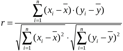
  5. Функция КОРРЕЛ производит расчет коэффициента корреляции по следующей формуле:
  6. расчет коэффициента корреляции по формуле.

Примечание 2: Коэффициент корреляции представляет собой количественную характеристику степени взаимосвязи между двумя свойствами объектов. Этот коэффициент может принимать значения из диапазона от -1 до 1, при этом:

  1. Если значение коэффициента приближается к 1 или -1, между двумя исследуемыми свойствами существует сильная прямая или обратная взаимосвязи соответственно.
  2. Если значение коэффициента стремится к 0,5 или -0,5, два свойства слабо прямо или обратно взаимосвязаны друг с другом соответственно.
  3. Если коэффициент корреляции близок к 0 (нулю), между двумя исследуемыми свойствами отсутствует прямая либо обратная взаимосвязи.

Примечание 3: Для понимания смысла коэффициента корреляции можно привести два простых примера:

  1. При нагреве вещества количество теплоты, содержащееся в нем, будет увеличиваться. То есть, между температурой и количеством теплоты (физическая величина) существует прямая взаимосвязь.
  2. При увеличении стоимости продукции спрос на нее уменьшается. То есть, между ценой и покупательной способностью существует обратная взаимосвязь.

en ru