Программа для расчета распила бревна в Excel скачать бесплатно
Расчет оптимального распила бревна с помощью программы Excel. Для каждой лесопилки важно максимально минимизировать сырьевые отходы производства. От этого существенно зависит рентабельность производства строительного бревна.
Пример расчета распила строительных бревен в программе Excel
Программа для расчета распила бревна будет полезна малым предпринимателям готовым создать свой бизнес по производству оцилиндрованных бревен
и стройки деревянных домов из оцилиндровки
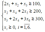
На распил поступает некоторое количество бревен, длиной 10 метров каждая. Лесопилкой заключен контракт на поставку сырья из древесины в таком количестве:
- 100 бревен по 5 метров;
- 200 бревен по 4 метра;
- 300 бревен по 3 метра.
| Варианты распила | Количество бревен | Отходы | ||
| 5м | 4м | 3м | ||
| 1 | 2 | 0 | 0 | 0 |
| 2 | 1 | 1 | 0 | 1 |
| 3 | 1 | 0 | 1 | 2 |
| 4 | 0 | 1 | 2 | 0 |
| 5 | 0 | 2 | 0 | 2 |
| 6 | 0 | 0 | 3 | 1 |
Каким будет оптимальное количество бревен, которые должны быть распилены для выполнения контрактных условий? Иными словами, как распилить доски с минимальным количеством отходов производства?
Решение задачи на распилы бревен
Для составления модели решения необходимо определить все возможные варианты распила бревна длинною по 10 метров каждое на 3-, 4- и 5-метровые отрезки с учетом длины отходов. Результатом таких расчетов является выявление 6 вариантов распила:
- 2 бруса по 5м (0м отходов).
- 2 бруса 5м + 4м (1м отходов).
- 2 бруса 5м + 3м (2м отходов).
- 3 бруса 3м + 3м + 4м (0м отходов).
- 2 бруса по 4м (2м отходов).
- 3 бруса по 3м (1м отходов).
По условию задачи Xі распиливаются способом і. Тогда будет верна схема:
F = X1 + X2 + X3 + X4 + X5 + X6 => min
Можно составить такую систему:
Следующим шагом будет подготовка таблицы Microsoft Excel, которая будет содержать исходные условия задачи.
Для расчета левой части ограничения и целевой функции вводятся соответствующие формулы. Ячейки J3:J5 заполоните этими формулами:
А в ячейку B8 введите формулу: =СУММ(B7:G7).
Далее заполняется форма модулей «Поиск решения» и «Параметры поиска решения». Для этого перейдите на ячейку B8 и воспользуйтесь инструментом на вкладке «ДАННЫЕ»-«Анализ»-«Поиск решения». Если на этой вкладке у Вас отсутствует данный инструмент, тогда ознакомьтесь с инструкцией: как подключить поиск решения в Excel. Заполните диалоговые окна параметрами так как показано ниже на рисунке и нажмите на кнопку «Найти решение».
Полученные результаты таблицы свидетельствуют о том, что для выполнения условий контракта понадобится распилить 225 брусьев:
- 50 брусьев по способу №1;
- 150 брусьев по способу №4;
- 25 брусьев по способу №5.
Скачать программу расчета распила бревна.
Используя данный шаблон программы в Excel, Вы можете заполнить входящие показатели своими значениями и такими же способами выбрать для себя оптимальное решение. И помните если не производить предварительные расчеты, то на практике при распиле очень сложно вложиться в границы пределов 14%-16% отходов древесины.