Расчет НМЦК в Excel начальной максимальной цены контракта

Для унификации подхода к формированию НМЦК (начальной (максимальной) цены контракта, подписываемого с единственным поставщиком) при выполнении закупок в соответствии с ФЗ №44 «О контрактной системе в сфере закупок товаров, работ, услуг для обеспечения государственных и муниципальных нужд» разработаны методические рекомендации с методами и формулами расчета. А для участия в государственных торгах нужно составлять обоснование НМЦК. Расчет можно произвести в Excel.

Как формируется НМЦК

Исчисление и обоснование начальной (максимальной) цены контракта зависит от методов, определенных в Законе:

  • метод сопоставимых рыночных цен (анализ рынка);
  • нормативный;
  • тарифный;
  • проектно-сметный;
  • затратный.

Предпочтение отдается методу сопоставимых рыночных цен. Получить ценовую информацию об одинаковых (идентичных) товарах, работах и услугах можно из следующих источников:

  • официальных публикаций государственных и муниципальных органов, международных организаций;
  • сайта госзакупок;
  • сведений информационно-ценовых агентств;
  • статистических отчетов;
  • общедоступной рекламы в СМИ, Интернете.

При расчете начальной цены контракта используются коэффициенты, которые учитывают:

  • объем товара, работ, услуг;
  • срок определения НМЦК, исполнения договора;
  • место поставки;
  • изменение номенклатуры и т.д.

Расчетные данные и обоснование НМЦК оформляются документально и подписываются работником контрактной службы.



Методики обоснования НМЦК

Выбор конкретного способа зависит от ситуации, исходных данных и других факторов.

Метод сопоставимых рыночных цен

НМЦК рассчитывается на основе информации о рыночных ценах на идентичные или однородные работы, товары или услуги. Собрать необходимые сведения законодатель предлагает следующими способами:

  • отправить запросы не менее чем пяти поставщикам изучаемого товара;
  • опубликовать запрос в ЕИС;
  • найти данные в реестрах контрактов заказчиков;
  • получить информацию из общедоступных источников.

Источники информации должны вызывать доверие и подтверждаться соответствующими расчетами.

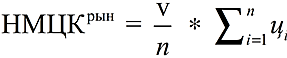
Используемая формула:

Формула.

, где

  • v – объем товара;
  • n – число значений в расчете;
  • i – номер источника ценовой информации;
  • цi– цена товара с номером i.

Рассмотрим пример расчета НМЦК в Excel.

На первом этапе собранные сведения заносятся в таблицу:

Информация о цене.

Запросы отправлены 5 поставщикам. Получен ответ от трех. Для получения объективной картины нужно не менее 3 цен от разных поставщиков. Это условие выполнено.

Далее нужно проверить однородность совокупности значений выявленных цен, которые применяются при расчете. Рассчитаем коэффициент вариации.

КОРЕНЬ.

Как рассчитывается среднее квадратичное отклонение, показано на рисунке. Среднюю арифметическую цену считаем с помощью функции СРЗНАЧ (=СРЗНАЧ(E3:G3)). Для расчета коэффициента вариации среднее квадратичное отклонение делим на среднюю арифметическую цену: =I3/H3*100. Показатель не должен превышать 33%. Это условие соблюдено.

Теперь рассчитываем начальную цену контракта. Формула для расчета НМЦК в Excel:

Формула НМЦК.

Нормативный метод

Методика применяется в случаях, определенных законодательством (ст.19 ФЗ №44). Законодатель подразумевает использование предельных цен на товар, работу, услугу. В качестве источника информации применяется государственный реестр предельных отпускных цен.

Формула:

Формула НМЦК нормативный метод.

, где

  • v – объем товара;
  • цпред – предельная цена единицы товара.

Расчет НМЦК по 44-ФЗ в Excel:

Расчет НМЦК.

Эта методика может использоваться совместно с методом сопоставимых рыночных цен.

Тарифный метод

Используется, когда цены на товары регламентируются на государственном или местном уровне. Источник информации – сведения о тарифах, размещенные на официальный сайтах или в печатных изданиях государственных организаций.

Формула:

Тарифный метод НМЦК.

, где

  • v – объем товаров;
  • цтариф – установленная на федеральном или муниципальном уровне цена.

Пример расчета в Excel:

Пример расчета НМЦК.

В области строительства применяется проектно-сметный метод. НМЦК формируется на основе проектно-сметной документации, составленной согласно требованиям законодательства.

Когда применить ту или иную методику невозможно, используется затратный метод. Подсчитываются все затраты. Результат сравнивается с показателем прибыли, характерным для данной сферы.


en ru